%%html
<script src="http://bits.csb.pitt.edu/asker.js/lib/asker.js"></script>
<script>
require(['https://cdnjs.cloudflare.com/ajax/libs/Chart.js/2.2.2/Chart.js'], function(Ch){
Chart = Ch;
});
$('head').append('<link rel="stylesheet" href="http://bits.csb.pitt.edu/asker.js/themes/asker.default.css" />');
//the callback is provided a canvas object and data
var chartmaker = function(canvas, labels, data) {
var ctx = $(canvas).get(0).getContext("2d");
var dataset = {labels: labels,
datasets:[{
data: data,
backgroundColor: "rgba(150,64,150,0.5)",
fillColor: "rgba(150,64,150,0.8)",
}]};
var myBarChart = new Chart(ctx,{type:'bar',data:dataset,options:{legend: {display:false},scales:{yAxes:[{ticks:{min: 0}}]}}});
};
$(".jp-InputArea .o:contains(html)").closest('.jp-InputArea').hide();
</script>
sys, os, mathimport math
print(math.pi)
3.141592653589793
print(pi)
--------------------------------------------------------------------------- NameError Traceback (most recent call last) /tmp/ipykernel_3304745/2493917274.py in <module> ----> 1 print(pi) NameError: name 'pi' is not defined
You can import variables directly into your namespace
from math import e
e
2.718281828459045
You can rename the module
import math as m
m.pi, m.e
(3.141592653589793, 2.718281828459045)
The sys module contains a number of system-specific functions and objects
import sys
sys.argv # the arguments passed to the program when it was run
['/usr/local/lib/python3.8/dist-packages/ipykernel_launcher.py', '-f', '/home/dkoes/.local/share/jupyter/runtime/kernel-8e9c7d42-dc95-440e-b380-e8e01c51f791.json']
sys.stdout,sys.stderr
(<ipykernel.iostream.OutStream at 0x7f183bc1e700>, <ipykernel.iostream.OutStream at 0x7f183bc1e6a0>)
sys.stdout.write("hi")
hi
2
$ cat args.py
#!/usr/bin/python
import sys
print(len(sys.argv))
$ ./args.py hi bye
%%html
<div id="args" style="width: 500px"></div>
<script>
$('head').append('<link rel="stylesheet" href="http://bits.csb.pitt.edu/asker.js/themes/asker.default.css" />');
var divid = '#args';
jQuery(divid).asker({
id: divid,
question: "What prints out?",
answers: ["0","1","2","3","4"],
server: "http://bits.csb.pitt.edu/asker.js/example/asker.cgi",
charter: chartmaker})
$(".jp-InputArea .o:contains(html)").closest('.jp-InputArea').hide();
</script>

A system consists of various types of species (molecules, Monomers) at different concentrations that may exist in a variety of states (e.g., bound, unbound, phosphorylated, nuclear localized, etc). Reaction rules govern how species concentrations and states vary over time.
These rules are commonly represented as networks of ordinary differential equations (mass action kinetics).
In chemistry, the law of mass action is a mathematical model that explains and predicts behaviours of solutions in dynamic equilibrium. Simply put, it states that the rate of a chemical reaction is proportional to the product of the masses of the reactants. Necessarily, this implies that for a chemical reaction mixture that is in equilibrium, the ratio between the concentration of reactants and products is constant. -- Wikipedia
Consider a ligand, L, and receptor, R, that bind:
$$L + R \rightleftharpoons LR$$This reaction has a forward rate constant, $k_f$ and a reverse rate constant $k_r$.
($k_{on}$ and $k_{off}$ are an alternative nomenclature)
forward reaction rate $(\frac{M}{s})$ = $k_f[L][R]$
reverse reaction rate $(\frac{M}{s})$ = $k_r[LR]$
%%html
<div id="sbk" style="width: 500px"></div>
<script>
$('head').append('<link rel="stylesheet" href="http://bits.csb.pitt.edu/asker.js/themes/asker.default.css" />');
var divid = '#sbk';
jQuery(divid).asker({
id: divid,
question: "What are the units of k<sub>r</sub>?",
answers: ['s<sup>−1</sup>','M<sup>−1</sup>s<sup>−1</sup>','M<sup>−2</sup>s<sup>−1</sup>','M<sup>−2</sup>'],
server: "http://bits.csb.pitt.edu/asker.js/example/asker.cgi",
charter: chartmaker})
$(".jp-InputArea .o:contains(html)").closest('.jp-InputArea').hide();
</script>
The rate of change of the various concentration can be represented with these equations:
$$\frac{\partial [L]}{\partial t} = -k_f [L] [R] + k_r [LR]$$$$\frac{\partial [R]}{\partial t} = -k_f [L] [R] + k_r [LR]$$$$\frac{\partial [LR]}{\partial t} = k_f [L] [R] - k_r [LR]$$We can use scipy.integrate to solve these ODEs for a given set of initial conditions.
But that is a little painful even for this example, and really painful for a complex system with many interacting molecular species.
Rule-based modeling provides an alternative to creating massive sets of equations.
Instead, you create a less massive set of rules that are at a more appropriate level of abstraction. For example, here is the BioNetGen rule equivalent for ligand binding:
begin reaction rules
L(r) + R(l) <-> L(r!1).R(l!1) kf, kr
end reaction rules
L and R are the molecules which each have a single component (l and r). They participate in a reversible reaction (<->) to form a complex (.) where l and r bind (indicated by !1). The reaction has constants kf and kr.
If you'd like to learn more about BioNetGen, we have the world experts here in Jim Faeder's group.
In pysb models are specified natively in python. Your model is a python module.
The use of native python code to specify modules allows for modularity, function decomposition, and code reuse (e.g., can write a function to define a certain common model motif).
By convention, model definition is in a separate file from the code that uses the model (but this isn't what we're doing in the assignment).
PySB self-exports variables when you call its function. This is slightly strange (from a software engineering standpoint) but results in a clearer syntax.
To create a model:
from pysb import * #importing everything
Model()
<Model '_interactive_' (monomers: 0, rules: 0, parameters: 0, expressions: 0, compartments: 0) at 0x7f1805f6dd30>
This automatically creates (self-exports) a variable called model
model
<Model '_interactive_' (monomers: 0, rules: 0, parameters: 0, expressions: 0, compartments: 0) at 0x7f1805f6dd30>
"Monomers are the indivisible elements that will make up the molecules and complexes whose behavior you intend to model."
Monomer(name,sites,states)
Monomer('L', ['s'])
Monomer('R', ['s'])
print(L,R) #self-exported
Monomer('L', ['s']) Monomer('R', ['s'])
Parameters are named numerical constants that can be used as initial concentrations or reaction rates.
Parameter('L_0', 100)
Parameter('R_0', 200)
Parameter('kf', 1e-3)
Parameter('kr', 1e-3)
Names are exported:
print(L_0,L_0.value)
Parameter('L_0', 100.0) 100.0
Rules are created by specifying a name for the rule (which becomes the name of the corresponding variable), a RuleExpression, and one or two reaction constants.
The syntax for RuleExpressions is very similar to BioNetGen (in fact, PySB uses BioNetGen under the hood).
Rule('L_binds_R', L(s=None) + R(s=None) | L(s=1) % R(s=1), kf, kr)
Rule('L_binds_R', L(s=None) + R(s=None) | L(s=1) % R(s=1), kf, kr)
print(L_binds_R)
Rule('L_binds_R', L(s=None) + R(s=None) | L(s=1) % R(s=1), kf, kr)
% operator to represent a binding interaction between two species
The state of the sites must be specified (can be None). To indicate that two sites are bound in a binding interaction assign them the same number.
# Rule('L_binds_R', L(s=None) + R(s=None) | L(s=1) % R(s=1), kf, kr)
print(L_binds_R)
Rule('L_binds_R', L(s=None) + R(s=None) | L(s=1) % R(s=1), kf, kr)
In order to integrate the ODEs underlying the model, we need to specify any non-zero initial conditions.
These need to be set with a Parameter object (not a numerical value).
Initial(L(s=None), L_0) # L_0 is a parameter
Initial(R(s=None), R_0) # R_0 is a parameter
Initial(R(s=None), R_0)
Finally, we specify what species and/or combinations of species we want to monitor the concentrations of by creating Observable objects. These take a name and an expression to observe.
Observable('unboundL', L(s=None))
Observable('unboundR', R(s=None))
Observable('LR', L(s=1) % R(s=1))
All of these expressions automatically add themselves to the current model object.
model
<Model '_interactive_' (monomers: 2, rules: 1, parameters: 4, expressions: 0, compartments: 0) at 0x7f1805f6dd30>
model.parameters
ComponentSet([
Parameter('L_0', 100.0),
Parameter('R_0', 200.0),
Parameter('kf', 0.001),
Parameter('kr', 0.001),
])
from pysb import *
Model()
Monomer('L', ['s'])
Monomer('R', ['s'])
Parameter('L_0', 100)
Parameter('R_0', 200)
Parameter('kf', 1e-3)
Parameter('kr', 1e-3)
Initial(L(s=None), L_0)
Initial(R(s=None), R_0)
Rule('L_binds_R', L(s=None) + R(s=None) | L(s=1) % R(s=1), kf, kr)
Observable('unboundL', L(s=None))
Observable('unboundR', R(s=None))
Observable('LR', L(s=1) % R(s=1))
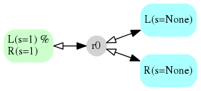
PySB comes with a script for creating a GraphViz .dot file.
python -m pysb.tools.render_reactions lrmodel.py > lrmodel.dot
dot -Tpng lrmodel.dot > lrmodel.png

For a given time span we can solve the ODEs to track changes in concentration.
from pysb.integrate import odesolve
import numpy as np
import matplotlib.pyplot as plt
%matplotlib inline
time = np.linspace(0, 40, 100)
sol = odesolve(model, time)
np.linspace(start=0,stop=20,num=5) #generates num evenly spaced points from start to stop
array([ 0., 5., 10., 15., 20.])
The returned value from odesolve can be indexed by the observables.
sol['LR']
array([ 0. , 7.61654594, 14.40182471, 20.47986002, 25.95122824,
30.89839963, 35.38952808, 39.4815096 , 43.22220517, 46.65213929,
49.80587027, 52.71305357, 55.39926949, 57.88670512, 60.19471768,
62.34026906, 64.3382599 , 66.20183836, 67.94266504, 69.57112061,
71.09646951, 72.52700243, 73.87016406, 75.13266138, 76.32055215,
77.43931976, 78.49393939, 79.48893343, 80.42842847, 81.31619634,
82.15568519, 82.95006828, 83.70225069, 84.41490605, 85.09050052,
85.7313101 , 86.33943955, 86.91684046, 87.46532227, 87.98656395,
88.48212763, 88.95346687, 89.40193616, 89.82879984, 90.23523942,
90.62235912, 90.99119274, 91.34270913, 91.67781634, 91.99736673,
92.30216148, 92.59295349, 92.87045117, 93.13532197, 93.38819448,
93.62966147, 93.86028251, 94.08058578, 94.2910703 , 94.49220775,
94.68444428, 94.86820255, 95.04388179, 95.2118625 , 95.37250242,
95.52614429, 95.67310975, 95.81370667, 95.94822593, 96.0769441 ,
96.20012417, 96.3180159 , 96.43085728, 96.53887416, 96.64228238,
96.74128633, 96.83608172, 96.92685408, 97.0137807 , 97.09703032,
97.17676376, 97.25313452, 97.32628878, 97.39636634, 97.46350018,
97.52781771, 97.58944004, 97.64848325, 97.70505789, 97.75926967,
97.81121957, 97.86100401, 97.90871521, 97.95444121, 97.99826632,
98.04027094, 98.08053218, 98.11912356, 98.15611555, 98.19157548])
%%html
<div id="sollen" style="width: 500px"></div>
<script>
$('head').append('<link rel="stylesheet" href="http://bits.csb.pitt.edu/asker.js/themes/asker.default.css" />');
var divid = '#sollen';
jQuery(divid).asker({
id: divid,
question: "What is the length of this array?",
answers: ['39','40','99','100'],
server: "http://bits.csb.pitt.edu/asker.js/example/asker.cgi",
charter: chartmaker})
$(".jp-InputArea .o:contains(html)").closest('.jp-InputArea').hide();
</script>
plt.plot(time,sol['LR'], label='LR')
plt.plot(time,sol['unboundL'], label='L')
plt.plot(time,sol['unboundR'], label='R')
plt.xlabel("Time (s)")
plt.ylabel("Amount")
plt.legend()
plt.show()
The model object is mutable - we can easily change parameters and see what happens.
model.parameters['kf'].value = 0.0001
time = np.linspace(0, 200, 100)
sol = odesolve(model, time)
%%html
<div id="rateintuit" style="width: 500px"></div>
<script>
$('head').append('<link rel="stylesheet" href="http://bits.csb.pitt.edu/asker.js/themes/asker.default.css" />');
var divid = '#rateintuit';
jQuery(divid).asker({
id: divid,
question: "How will the concentration of LR change at time 40 compared to kf = 0.001?",
answers: ['Less','Same','More','Error'],
server: "http://bits.csb.pitt.edu/asker.js/example/asker.cgi",
charter: chartmaker})
$(".jp-InputArea .o:contains(html)").closest('.jp-InputArea').hide();
</script>
plt.plot(time,sol['LR'], label='LR')
plt.plot(time,sol['unboundL'], label='L')
plt.plot(time,sol['unboundR'], label='R')
plt.xlabel("Time (s)"); plt.ylabel("Amount"); plt.legend(); plt.show()
The real advantage of PySB is the ability to create reusable macros of common rule patterns.
equilibrate - Generate the reversible equilibrium reaction S1 <-> S2bind - Generate the reversible binding reaction S1 + S2 | S1:S2 catalyze - Generate the two-step catalytic reaction E + S | E:S >> E + Pcatalyze_one_step - Generate the one-step catalytic reaction E + S >> E + Pcatalyze_one_step_reversible - Create fwd and reverse rules for catalysis of the form: E + S -> E + P, P -> Ssynthesize - Generate a reaction which synthesizes a speciesdegrade - Generate a reaction which degrades a speciesassemble_pore_sequential - Generate rules to assemble a circular homomeric pore sequentiallypore_transport - Generate rules to transport cargo through a circular homomeric porefrom pysb.macros import *
help(catalyze_state)
Help on function catalyze_state in module pysb.macros:
catalyze_state(enzyme, e_site, substrate, s_site, mod_site, state1, state2, klist)
Generate the two-step catalytic reaction E + S | E:S >> E + P. A wrapper
around catalyze() with a signature specifying the state change of the
substrate resulting from catalysis.
Parameters
----------
enzyme : Monomer or MonomerPattern
E in the above reaction.
substrate : Monomer or MonomerPattern
S and P in the above reaction. The product species is assumed to be
identical to the substrate species in all respects except the state
of the modification site. The state of the modification site should
not be specified in the MonomerPattern for the substrate.
e_site, s_site : string
The names of the sites on `enzyme` and `substrate` (respectively) where
they bind each other to form the E:S complex.
mod_site : string
The name of the site on the substrate that is modified by catalysis.
state1, state2 : strings
The states of the modification site (mod_site) on the substrate before
(state1) and after (state2) catalysis.
klist : list of 3 Parameters or list of 3 numbers
Forward, reverse and catalytic rate constants (in that order). If
Parameters are passed, they will be used directly in the generated
Rules. If numbers are passed, Parameters will be created with
automatically generated names based on the names and states of enzyme,
substrate and product and these parameters will be included at the end
of the returned component list.
Returns
-------
components : ComponentSet
The generated components. Contains two Rules (bidirectional complex
formation and unidirectional product dissociation), and optionally three
Parameters if klist was given as plain numbers.
Notes
-----
When passing a MonomerPattern for `enzyme` or `substrate`, do not include
`e_site` or `s_site` in the respective patterns. In addition, do not
include the state of the modification site on the substrate. The macro
will handle this.
Examples
--------
Using a single Monomer for substrate and product with a state change::
Monomer('Kinase', ['b'])
Monomer('Substrate', ['b', 'y'], {'y': ('U', 'P')})
catalyze_state(Kinase, 'b', Substrate, 'b', 'y', 'U', 'P',
(1e-4, 1e-1, 1))
Execution::
>>> Model() # doctest:+ELLIPSIS
<Model '_interactive_' (monomers: 0, rules: 0, parameters: 0, expressions: 0, compartments: 0) at ...>
>>> Monomer('Kinase', ['b'])
Monomer('Kinase', ['b'])
>>> Monomer('Substrate', ['b', 'y'], {'y': ('U', 'P')})
Monomer('Substrate', ['b', 'y'], {'y': ('U', 'P')})
>>> catalyze_state(Kinase, 'b', Substrate, 'b', 'y', 'U', 'P', (1e-4, 1e-1, 1)) # doctest:+NORMALIZE_WHITESPACE
ComponentSet([
Rule('bind_Kinase_SubstrateU_to_KinaseSubstrateU',
Kinase(b=None) + Substrate(b=None, y='U') | Kinase(b=1) % Substrate(b=1, y='U'),
bind_Kinase_SubstrateU_to_KinaseSubstrateU_kf,
bind_Kinase_SubstrateU_to_KinaseSubstrateU_kr),
Parameter('bind_Kinase_SubstrateU_to_KinaseSubstrateU_kf', 0.0001),
Parameter('bind_Kinase_SubstrateU_to_KinaseSubstrateU_kr', 0.1),
Rule('catalyze_KinaseSubstrateU_to_Kinase_SubstrateP',
Kinase(b=1) % Substrate(b=1, y='U') >> Kinase(b=None) + Substrate(b=None, y='P'),
catalyze_KinaseSubstrateU_to_Kinase_SubstrateP_kc),
Parameter('catalyze_KinaseSubstrateU_to_Kinase_SubstrateP_kc', 1.0),
])
Model()
Monomer('Ras', ['k'])
Monomer('Raf', ['s', 'k'], {'s': ['u', 'p']})
Monomer('MEK', ['s218', 's222', 'k'], {'s218': ['u', 'p'], 's222': ['u', 'p']})
Monomer('ERK', ['t185', 'y187'], {'t185': ['u', 'p'], 'y187': ['u', 'p']})
Monomer('PP2A', ['ppt']) #phosphatase
Monomer('MKP', ['ppt']) ##phosphatase
Monomer('MKP', ['ppt'])
%%html
<div id="sbsite" style="width: 500px"></div>
<script>
$('head').append('<link rel="stylesheet" href="http://bits.csb.pitt.edu/asker.js/themes/asker.default.css" />');
var divid = '#sbsite';
jQuery(divid).asker({
id: divid,
question: "What is the 'k' in <tt>Monomer('Ras', ['k'])</tt>?",
answers: ['An okay state, K?','A binding site for GTP','A phosphorylation site','A binding site for Raf','An active state'],
server: "http://bits.csb.pitt.edu/asker.js/example/asker.cgi",
charter: chartmaker})
$(".jp-InputArea .o:contains(html)").closest('.jp-InputArea').hide();
</script>
# Use generic rates for forward/reverse binding and kinase/phosphatase catalysis
kf_bind = 1e-5
kr_bind = 1e-1
kcat_phos = 1e-1
kcat_dephos = 3e-3
# Build handy rate "sets"
klist_bind = [kf_bind, kr_bind]
klist_phos = klist_bind + [kcat_phos]
klist_dephos = klist_bind + [kcat_dephos]
from pysb.macros import catalyze_state
def mapk_single(kinase, pptase, substrate, site):
"""Kinase phos/dephosphorylation."""
ppt_substrate = substrate()
if 'k' in ppt_substrate.monomer.sites:
# Ensure substrates which are themselves kinases don't get
# dephosphorylated while they are bound to *their* substrate.
ppt_substrate = ppt_substrate(k=None)
components = catalyze_state(kinase, 'k',
substrate, site, site, 'u', 'p',
klist_phos)
components |= catalyze_state(pptase, 'ppt',
ppt_substrate, site, site, 'p', 'u',
klist_dephos)
return components
def mapk_double(kinase, pptase, substrate, site1, site2):
"""Distributive + ordered double kinase phos/dephosphorylation."""
components = mapk_single(kinase, pptase, substrate({site2: 'u'}), site1)
components |= mapk_single(kinase, pptase, substrate({site1: 'p'}), site2)
return components
# Ras-Raf-MEK-ERK kinase cascade
mapk_single(Ras, PP2A, Raf, 's')
mapk_double(Raf(s='p'), PP2A, MEK, 's218', 's222')
mapk_double(MEK(s218='p', s222='p'), MKP, ERK, 't185', 'y187')
ComponentSet([
Rule('bind_MEKpp_ERKuu_to_MEKppERKu', MEK(s218='p', s222='p', k=None) + ERK(t185='u', y187='u') | MEK(s218='p', s222='p', k=1) % ERK(t185=('u', 1), y187='u'), bind_MEKpp_ERKuu_to_MEKppERKu_kf, bind_MEKpp_ERKuu_to_MEKppERKu_kr),
Parameter('bind_MEKpp_ERKuu_to_MEKppERKu_kf', 1e-05),
Parameter('bind_MEKpp_ERKuu_to_MEKppERKu_kr', 0.1),
Rule('catalyze_MEKppERKu_to_MEKpp_ERKup', MEK(s218='p', s222='p', k=1) % ERK(t185=('u', 1), y187='u') >> MEK(s218='p', s222='p', k=None) + ERK(t185='p', y187='u'), catalyze_MEKppERKu_to_MEKpp_ERKup_kc),
Parameter('catalyze_MEKppERKu_to_MEKpp_ERKup_kc', 0.1),
Rule('bind_MKP_ERKup_to_MKPERKu', MKP(ppt=None) + ERK(t185='p', y187='u') | MKP(ppt=1) % ERK(t185=('p', 1), y187='u'), bind_MKP_ERKup_to_MKPERKu_kf, bind_MKP_ERKup_to_MKPERKu_kr),
Parameter('bind_MKP_ERKup_to_MKPERKu_kf', 1e-05),
Parameter('bind_MKP_ERKup_to_MKPERKu_kr', 0.1),
Rule('catalyze_MKPERKu_to_MKP_ERKuu', MKP(ppt=1) % ERK(t185=('p', 1), y187='u') >> MKP(ppt=None) + ERK(t185='u', y187='u'), catalyze_MKPERKu_to_MKP_ERKuu_kc),
Parameter('catalyze_MKPERKu_to_MKP_ERKuu_kc', 0.003),
Rule('bind_MEKpp_ERKpu_to_MEKppERKp', MEK(s218='p', s222='p', k=None) + ERK(t185='p', y187='u') | MEK(s218='p', s222='p', k=1) % ERK(t185='p', y187=('u', 1)), bind_MEKpp_ERKpu_to_MEKppERKp_kf, bind_MEKpp_ERKpu_to_MEKppERKp_kr),
Parameter('bind_MEKpp_ERKpu_to_MEKppERKp_kf', 1e-05),
Parameter('bind_MEKpp_ERKpu_to_MEKppERKp_kr', 0.1),
Rule('catalyze_MEKppERKp_to_MEKpp_ERKpp', MEK(s218='p', s222='p', k=1) % ERK(t185='p', y187=('u', 1)) >> MEK(s218='p', s222='p', k=None) + ERK(t185='p', y187='p'), catalyze_MEKppERKp_to_MEKpp_ERKpp_kc),
Parameter('catalyze_MEKppERKp_to_MEKpp_ERKpp_kc', 0.1),
Rule('bind_MKP_ERKpp_to_MKPERKp', MKP(ppt=None) + ERK(t185='p', y187='p') | MKP(ppt=1) % ERK(t185='p', y187=('p', 1)), bind_MKP_ERKpp_to_MKPERKp_kf, bind_MKP_ERKpp_to_MKPERKp_kr),
Parameter('bind_MKP_ERKpp_to_MKPERKp_kf', 1e-05),
Parameter('bind_MKP_ERKpp_to_MKPERKp_kr', 0.1),
Rule('catalyze_MKPERKp_to_MKP_ERKpu', MKP(ppt=1) % ERK(t185='p', y187=('p', 1)) >> MKP(ppt=None) + ERK(t185='p', y187='u'), catalyze_MKPERKp_to_MKP_ERKpu_kc),
Parameter('catalyze_MKPERKp_to_MKP_ERKpu_kc', 0.003),
])
Initial(Ras(k=None), Parameter('Ras_0', 6e4))
Initial(Raf(s='u', k=None), Parameter('Raf_0', 7e4))
Initial(MEK(s218='u', s222='u', k=None), Parameter('MEK_0', 3e6))
Initial(ERK(t185='u', y187='u'), Parameter('ERK_0', 7e5))
Initial(PP2A(ppt=None), Parameter('PP2A_0', 2e5))
Initial(MKP(ppt=None), Parameter('MKP_0', 1.7e4))
Observable('ppMEK', MEK(s218='p', s222='p'))
Observable('ppERK', ERK(t185='p', y187='p'))
time = np.linspace(0, 500, 100)
x = odesolve(model, time)
plt.plot(time,x['ppMEK'], label='ppMEK')
plt.plot(time,x['ppERK'], label='ppERK')
plt.xlabel("Time (s)")
plt.ylabel("Amount")
plt.legend(loc='best')
plt.show()
from pysb import *
from pysb.macros import catalyze_state
Model()
Monomer('Ras', ['k'])
Monomer('Raf', ['s', 'k'], {'s': ['u', 'p']})
Monomer('MEK', ['s218', 's222', 'k'], {'s218': ['u', 'p'], 's222': ['u', 'p']})
Monomer('ERK', ['t185', 'y187'], {'t185': ['u', 'p'], 'y187': ['u', 'p']})
Monomer('PP2A', ['ppt']) #phosphatase
Monomer('MKP', ['ppt']) ##phosphatase
# Use generic rates for forward/reverse binding and kinase/phosphatase catalysis
kf_bind = 1e-5
kr_bind = 1e-1
kcat_phos = 1e-1
kcat_dephos = 3e-3
# Build handy rate "sets"
klist_bind = [kf_bind, kr_bind]
klist_phos = klist_bind + [kcat_phos]
klist_dephos = klist_bind + [kcat_dephos]
def mapk_single(kinase, pptase, substrate, site):
"""Kinase phos/dephosphorylation."""
ppt_substrate = substrate()
if 'k' in ppt_substrate.monomer.sites:
# Ensure substrates which are themselves kinases don't get
# dephosphorylated while they are bound to *their* substrate.
ppt_substrate = ppt_substrate(k=None)
components = catalyze_state(kinase, 'k',
substrate, site, site, 'u', 'p',
klist_phos)
components |= catalyze_state(pptase, 'ppt',
ppt_substrate, site, site, 'p', 'u',
klist_dephos)
return components
def mapk_double(kinase, pptase, substrate, site1, site2):
"""Distributive + ordered double kinase phos/dephosphorylation."""
components = mapk_single(kinase, pptase, substrate({site2: 'u'}), site1)
components |= mapk_single(kinase, pptase, substrate({site1: 'p'}), site2)
return components
# Ras-Raf-MEK-ERK kinase cascade
mapk_single(Ras, PP2A, Raf, 's')
mapk_double(Raf(s='p'), PP2A, MEK, 's218', 's222')
mapk_double(MEK(s218='p', s222='p'), MKP, ERK, 't185', 'y187')
Initial(Ras(k=None), Parameter('Ras_0', 6e4))
Initial(Raf(s='u', k=None), Parameter('Raf_0', 7e4))
Initial(MEK(s218='u', s222='u', k=None), Parameter('MEK_0', 3e6))
Initial(ERK(t185='u', y187='u'), Parameter('ERK_0', 7e5))
Initial(PP2A(ppt=None), Parameter('PP2A_0', 2e5))
Initial(MKP(ppt=None), Parameter('MKP_0', 1.7e4))
Observable('ppMEK', MEK(s218='p', s222='p'))
Observable('ppERK', ERK(t185='p', y187='p'))
Observable('p1ERK', ERK(t185='p', y187='u'))
Observable('p2ERK', ERK(t185='u', y187='p'))
Observable('uERK', ERK(t185='u', y187='u'))
time = np.linspace(0, 500, 100)
x = odesolve(model, time)
plt.plot(time,x['ppERK'], label='ppERK')
plt.plot(time,x['p1ERK'], label='p1ERK')
plt.plot(time,x['p2ERK'], label='p2ERK')
plt.plot(time,x['uERK'], label='uERK')
plt.xlabel("Time (s)")
plt.ylabel("Amount")
plt.legend(loc='best')
plt.show()
model.parameters['catalyze_RasRaf_to_Ras_Rafp_kc'].value = 0.01
x2 = odesolve(model, time)
plt.plot(time,x['ppERK'], label='ppERK')
plt.plot(time,x2['ppERK'], label='ppERK Inhibited Ras')
plt.xlabel("Time (s)")
plt.ylabel("Amount")
plt.legend(loc='best')
plt.show()
Get started. Complete each step in order.

In software engineering, rubber duck debugging is a method of debugging code. The name is a reference to a story in the book The Pragmatic Programmer in which a programmer would carry around a rubber duck and debug their code by forcing themselves to explain it, line-by-line, to the duck. In describing what the code is supposed to do and observing what it actually does, any incongruity between these two becomes apparent.
--Wikipedia
The rubber duck debugging method is as follows: